
Καλώς ήρθατε στο “μάθημα των μαθηματικών” του SchoolBet! 🎓 Έχετε αναρωτηθεί ποτέ αν υπάρχει ένας τρόπος να υπολογίσετε ακριβώς ποιο είναι το ιδανικό ποσό πονταρίσματος για κάθε στοίχημα, ώστε να μεγιστοποιήσετε τα κέρδη σας και να εκμηδενίσετε την πιθανότητα να χάσετε όλο σας το κεφάλαιο;
Η απάντηση είναι το Kelly Criterion. Μια φόρμουλα που γεννήθηκε στα εργαστήρια της Bell Labs το 1956 και σήμερα χρησιμοποιείται από τους κορυφαίους επαγγελματίες παίκτες και επενδυτές παγκοσμίως. Πάμε να δούμε πώς θα την εφαρμόσετε στο δικό σας παιχνίδι! 🚀
Το Κριτήριο Kelly είναι μια στρατηγική διαχείρισης κεφαλαίου (bankroll management). Σας λέει ποιο ποσοστό (%) του συνολικού σας κεφαλαίου πρέπει να ποντάρετε σε ένα στοίχημα, με βάση:
Με απλά λόγια: Όσο μεγαλύτερη είναι η αξία (Value) που βρίσκετε σε ένα στοίχημα, τόσο μεγαλύτερο πρέπει να είναι το ποντάρισμά σας.
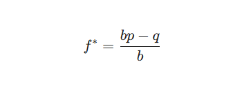
Μην τρομάζετε με τα μαθηματικά, η φόρμουλα είναι απλή αν την αναλύσουμε:

Όπου:
Ας υποθέσουμε ότι το συνολικό σας κεφάλαιο (Bankroll) είναι 500€. Βλέπετε στο SchoolBet ένα προγνωστικό για τη νίκη της Άστον Βίλα σε απόδοση 2.50.
Υπολογισμός:

Αποτέλεσμα: Η φόρμουλα σας λέει να ποντάρετε το 8,33% του κεφαλαίου σας, δηλαδή 41,65€.
Η φόρμουλα Kelly είναι επιθετική. Αν η εκτίμησή σας για την πιθανότητα (p) είναι έστω και λίγο λάθος, μπορεί να χάσετε γρήγορα χρήματα.
Στο SchoolBet προτείνουμε το Fractional Kelly:
Με το 70,4% των χρηστών μας να περιηγείται από κινητά:
Το Kelly Criterion δεν είναι μαγεία, είναι καθαρή στατιστική. 🎓 Σας αναγκάζει να σκέφτεστε με όρους Value (Αξίας). Αν ένα στοίχημα δεν έχει αξία, η φόρμουλα θα σας βγάλει αρνητικό αποτέλεσμα, που σημαίνει: Μην ποντάρεις!
Στο SchoolBet, στόχος μας είναι να γίνετε οι “καθηγητές” του εαυτού σας. Μάθετε να διαχειρίζεστε το κεφάλαιό σας με μαθηματική ακρίβεια και το ταμείο θα γίνει θέμα χρόνου! 💰🚀
Υπενθύμιση: Το στοίχημα απαιτεί σύνεση. Παίζουμε πάντα υπεύθυνα! 🔞
Ακολουθήστε μας Βάλτε το mail σας και δε θα χάνετε κανένα δελτίο μας.
Όλα στο mail σας ↓
Ακολουθήστε μας στα social media και βοηθήστε μας να μεγαλώσουμε την παρέα μας!
Φυσικά και στο Viber, με ειδοποίηση για κάθε νέο δελτίο!
Pingback: Διαχείριση Κεφαλαίου (Bankroll Management): Γιατί οι περισσότεροι παίκτες χάνουν επειδή δεν έχουν πλάνο - SchoolBet